• Предмет: Алгебра
  • Автор: Hason2
  • Вопрос задан 9 лет назад

Не могу решить, прошу помощи!
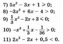
(Задание: решить неравенство)

Приложения:

Ответы

Ответ дал: kisonix
0
Решение во вложение.
Приложения:
Вас заинтересует