• Предмет: Алгебра
  • Автор: serega952011
  • Вопрос задан 3 года назад

Задания во влажениях.Решить систему уравнений.

Приложения:

Ответы

Ответ дал: drama46
0

В первой системе замените "3 в степени а" на х, а "2 в степени b" на у. Тогда первое уравнение примет вид x - y^2 = 77. Второе "квадратный корень из х - у = 7". Решая, получим: х = 81 (тогда а = 3) и у = 2 (тогда в = 1). Ответ: (81;1)

 

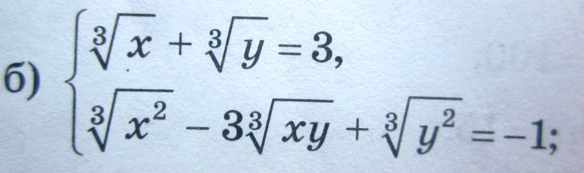
Во второй системе замените "корень третьей степени из х" на а, а "корень третьей степени из у" на в. Тогда первое уравнение будет выглядеть как "а + в = 3", второе уравнение "a^2 - 3aв + в^2 = -1". Решая систему, получим: а = 2, тогда х = 8 (или а = 1, тогда х = 1) и в = 1, тогда у = 1 (или в = 2, тогда у = 8). Ответ: (8;1) и (1;8)

Вас заинтересует