• Предмет: Математика
  • Автор: Order
  • Вопрос задан 9 лет назад

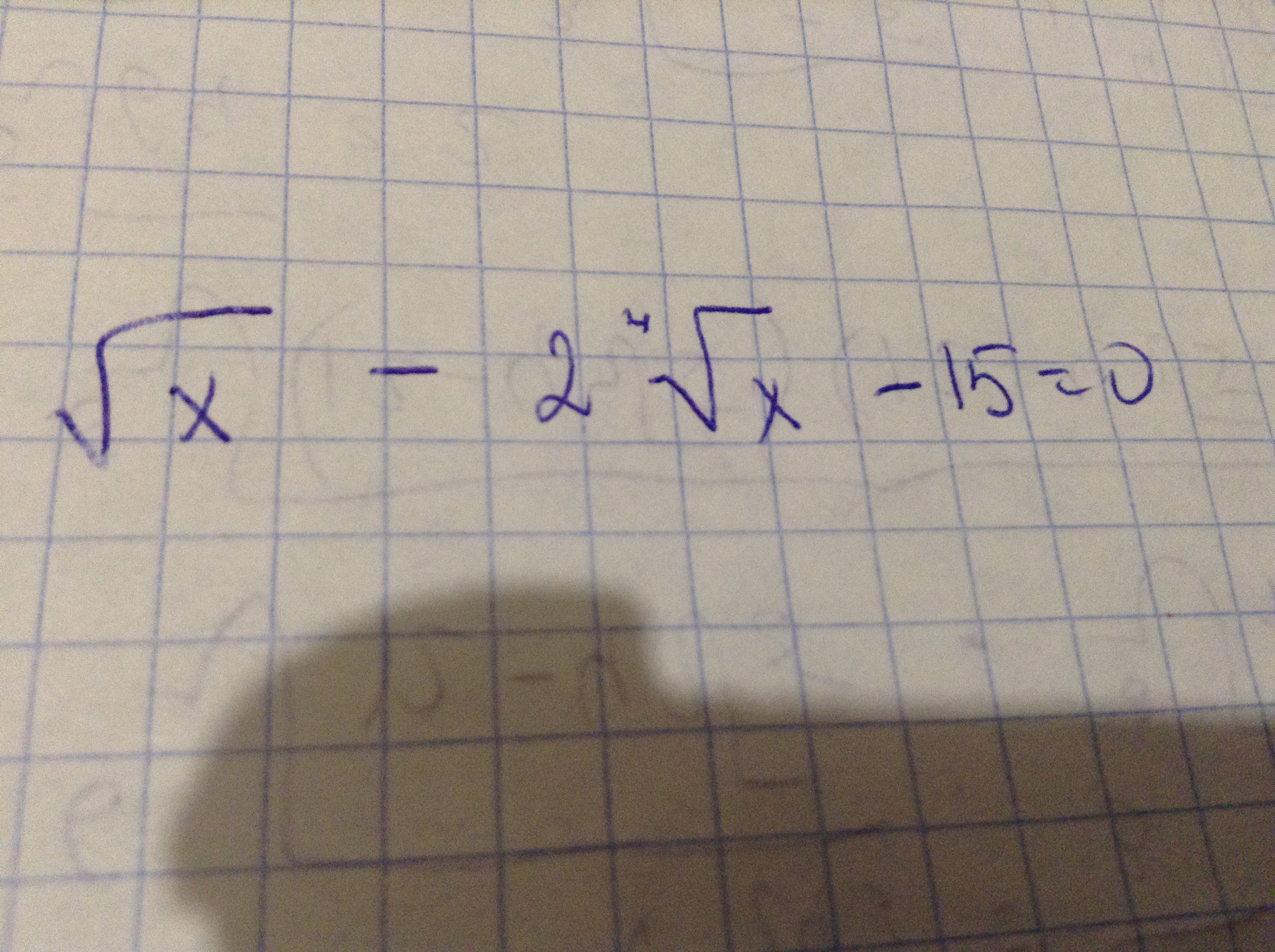
Решите пожалуйста через t

Приложения:

Ответы

Ответ дал: NNNLLL54
0
sqrt{x}-2sqrt[4]{x}-15=0; ,quad ODZ:; x geq 0; ,\\t=sqrt[4]{x} geq 0; ,; ; t^2-2t-15=0; ,; ; t_1=-3,; t_2=5\\sqrt[4]{x}=5quad Rightarrow; ; ; x=5^4\\x=625
Вас заинтересует