Ответы
Ответ дал:
0
Действия со степенями можно выполнять только если основания одинаковы!
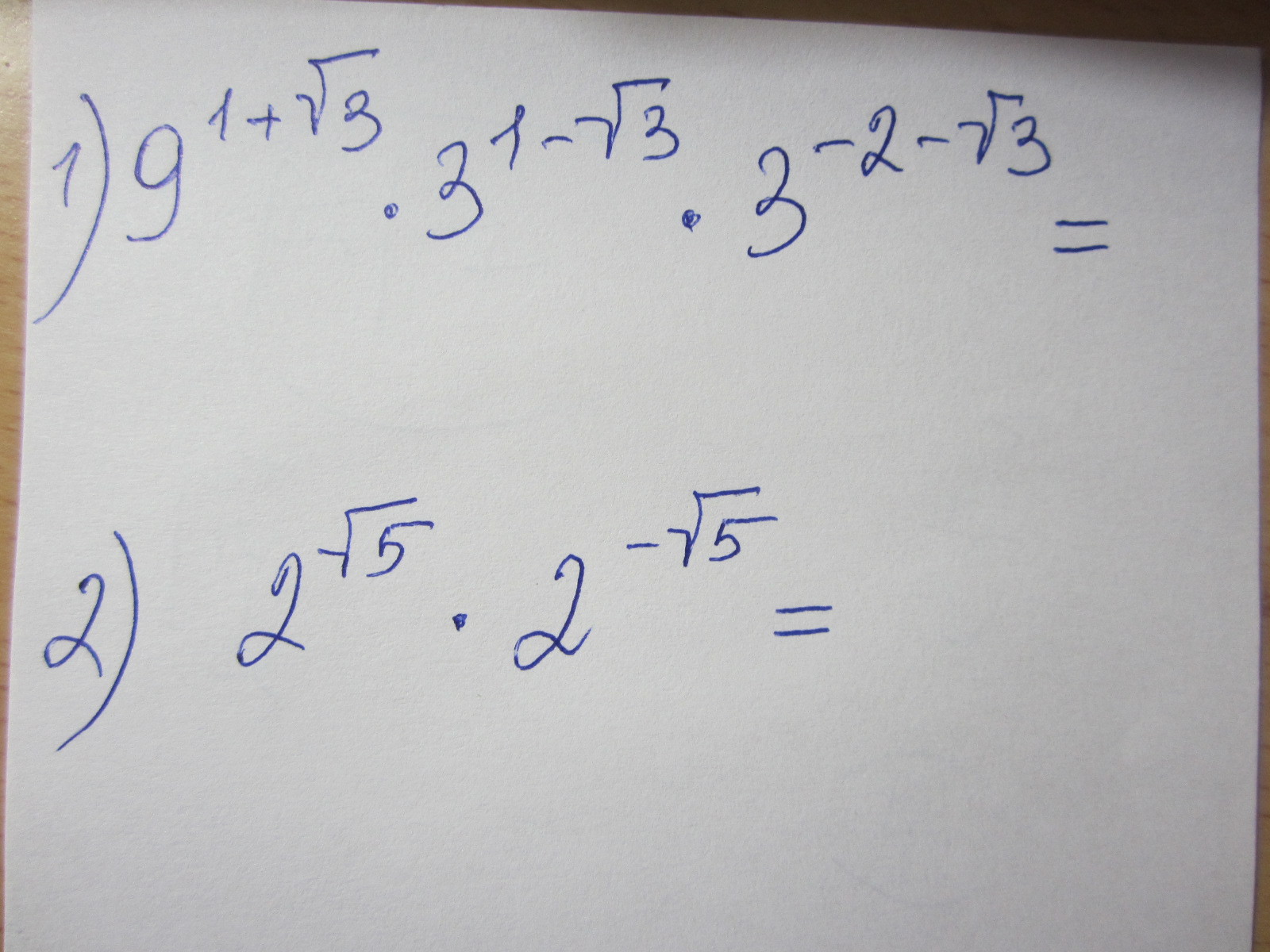
1) 3^2(1 +√3)*3^(1 - √3)*3^(2 -√3) = 3^(2 + 2√3) *3^(1 - √3)*3^(2 -√3) =
=3^(2 + 2√3) +(1 - √3) + (2 -√3) = 3^4 = 81
2) 2^√5 * 2^-√5 = 2^(√5 - √5) = 2^0 = 1
1) 3^2(1 +√3)*3^(1 - √3)*3^(2 -√3) = 3^(2 + 2√3) *3^(1 - √3)*3^(2 -√3) =
=3^(2 + 2√3) +(1 - √3) + (2 -√3) = 3^4 = 81
2) 2^√5 * 2^-√5 = 2^(√5 - √5) = 2^0 = 1
Вас заинтересует
2 года назад
2 года назад
7 лет назад
7 лет назад
10 лет назад
10 лет назад
10 лет назад