Ответы
Ответ дал:
0
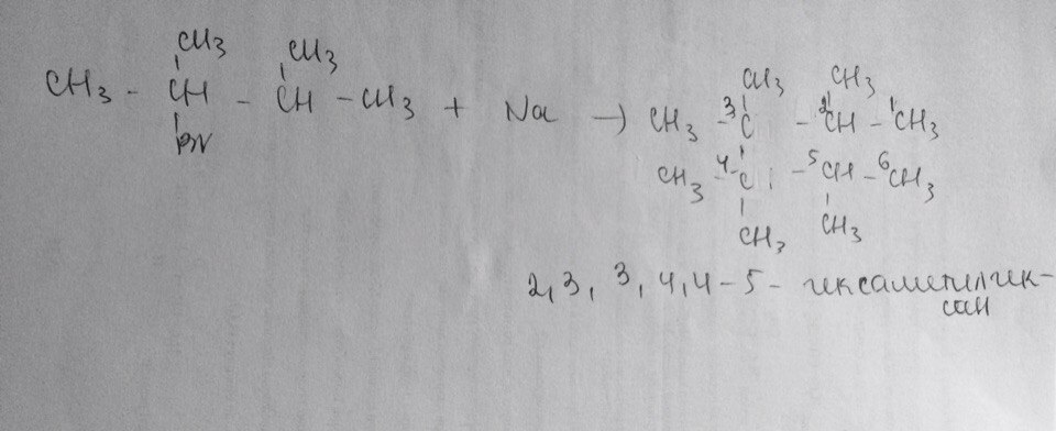
Реакция Вюрца :
2,3,3,4,4,5 - гексаметилгексан.
2,3,3,4,4,5 - гексаметилгексан.
Приложения:

Ответ дал:
0
может -3,3-диметилбутан?
Ответ дал:
0
Н лишний в исходной сполуке
Вас заинтересует
2 года назад
2 года назад
7 лет назад
9 лет назад
9 лет назад
10 лет назад