Ответы
Ответ дал:
0
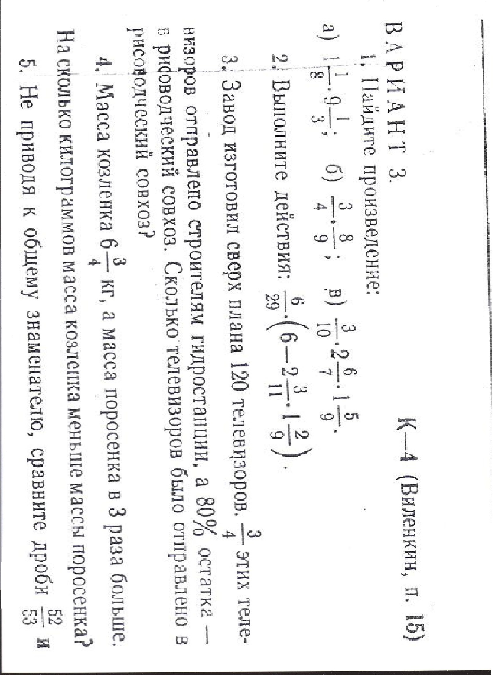
#3
(120-120*3/4)*0,8=30*0,8=24
#4
(6 3/4*3)-6 3/4=27/4*3-6 3/4=91/4-3/4=22 3/4-6 3/4=16(кг)
#1
1 1/8*9 1/3=9/8*28/3=21/2=10,5
3/4*8/9=2/3
3/10*2 6/7*1 5/9=3/10*20/7*14/9=840/630=1 210/630=1 1/3
(120-120*3/4)*0,8=30*0,8=24
#4
(6 3/4*3)-6 3/4=27/4*3-6 3/4=91/4-3/4=22 3/4-6 3/4=16(кг)
#1
1 1/8*9 1/3=9/8*28/3=21/2=10,5
3/4*8/9=2/3
3/10*2 6/7*1 5/9=3/10*20/7*14/9=840/630=1 210/630=1 1/3
Вас заинтересует
2 года назад
2 года назад
7 лет назад
10 лет назад
10 лет назад
10 лет назад