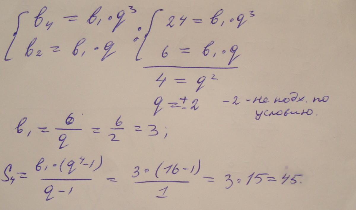
Найдите сумму первых четырех членов геометрической прогрессии(Bn), в которой b2=6, b4=24 q>0
_____
P.S. я знаю, что b1=3 и q=2 ну и b3=12, а как решить, не понимаю))
Ответы
Ответ дал:
9
Там система решается методом деления. Можешь решить как хочешь, если не понимаешь, но система эта.
Приложения:

Вас заинтересует
2 года назад
2 года назад
9 лет назад