Ответы
Ответ дал:
0
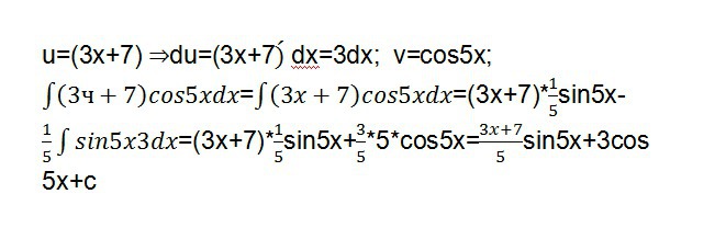
вводим обозначения u=(3x+7) и v=cos5x
Приложения:

Вас заинтересует
2 года назад
7 лет назад
7 лет назад
9 лет назад
9 лет назад
10 лет назад