Ответы
Ответ дал:
0
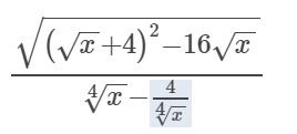
ОДЗ
х>0
![frac{ sqrt{( sqrt{x} +4)^2-16 sqrt{x} } }{ frac{ sqrt[4]{ x^{2} }-4 }{ sqrt[4]{x} } } = frac{ sqrt[4]{x} sqrt{( sqrt{x}^2 +8 sqrt{x} +16)-16 sqrt{x} } }{ sqrt{x} -4 } = \ frac{ sqrt[4]{x} sqrt{( sqrt{x}^2 -8 sqrt{x} +16}) }{ sqrt{x} -4 } =frac{ sqrt[4]{x} sqrt{( sqrt{x}-4})^2 }{ sqrt{x} -4 }=frac{ sqrt[4]{x} {( sqrt{x}-4})}{ sqrt{x} -4 }= sqrt[4]{x} frac{ sqrt{( sqrt{x} +4)^2-16 sqrt{x} } }{ frac{ sqrt[4]{ x^{2} }-4 }{ sqrt[4]{x} } } = frac{ sqrt[4]{x} sqrt{( sqrt{x}^2 +8 sqrt{x} +16)-16 sqrt{x} } }{ sqrt{x} -4 } = \ frac{ sqrt[4]{x} sqrt{( sqrt{x}^2 -8 sqrt{x} +16}) }{ sqrt{x} -4 } =frac{ sqrt[4]{x} sqrt{( sqrt{x}-4})^2 }{ sqrt{x} -4 }=frac{ sqrt[4]{x} {( sqrt{x}-4})}{ sqrt{x} -4 }= sqrt[4]{x}](https://tex.z-dn.net/?f=+frac%7B+sqrt%7B%28+sqrt%7Bx%7D+%2B4%29%5E2-16+sqrt%7Bx%7D+%7D+%7D%7B+frac%7B++sqrt%5B4%5D%7B+x%5E%7B2%7D+%7D-4++%7D%7B+sqrt%5B4%5D%7Bx%7D+%7D+%7D+%3D+frac%7B++sqrt%5B4%5D%7Bx%7D+sqrt%7B%28+sqrt%7Bx%7D%5E2+%2B8+sqrt%7Bx%7D+%2B16%29-16+sqrt%7Bx%7D+%7D+%7D%7B++sqrt%7Bx%7D+-4+%7D+%3D+%5C+frac%7B++sqrt%5B4%5D%7Bx%7D+sqrt%7B%28+sqrt%7Bx%7D%5E2+-8+sqrt%7Bx%7D+%2B16%7D%29+%7D%7B++sqrt%7Bx%7D+-4+%7D+%3Dfrac%7B++sqrt%5B4%5D%7Bx%7D+sqrt%7B%28+sqrt%7Bx%7D-4%7D%29%5E2+%7D%7B++sqrt%7Bx%7D+-4+%7D%3Dfrac%7B++sqrt%5B4%5D%7Bx%7D+%7B%28+sqrt%7Bx%7D-4%7D%29%7D%7B++sqrt%7Bx%7D+-4+%7D%3D+sqrt%5B4%5D%7Bx%7D+)
x=16/18=8/9
![sqrt[4]{ frac{8}{9} } sqrt[4]{ frac{8}{9} }](https://tex.z-dn.net/?f=+sqrt%5B4%5D%7B+frac%7B8%7D%7B9%7D+%7D+)
х>0
x=16/18=8/9
Вас заинтересует
7 лет назад
7 лет назад
10 лет назад