Помогите прошу вас (Номер 4) , 4) 5) 6) 7) 8) 9) 10) 11) 12) Кто сколько сможет поможет.
Приложения:

Ответы
Ответ дал:
0
№4
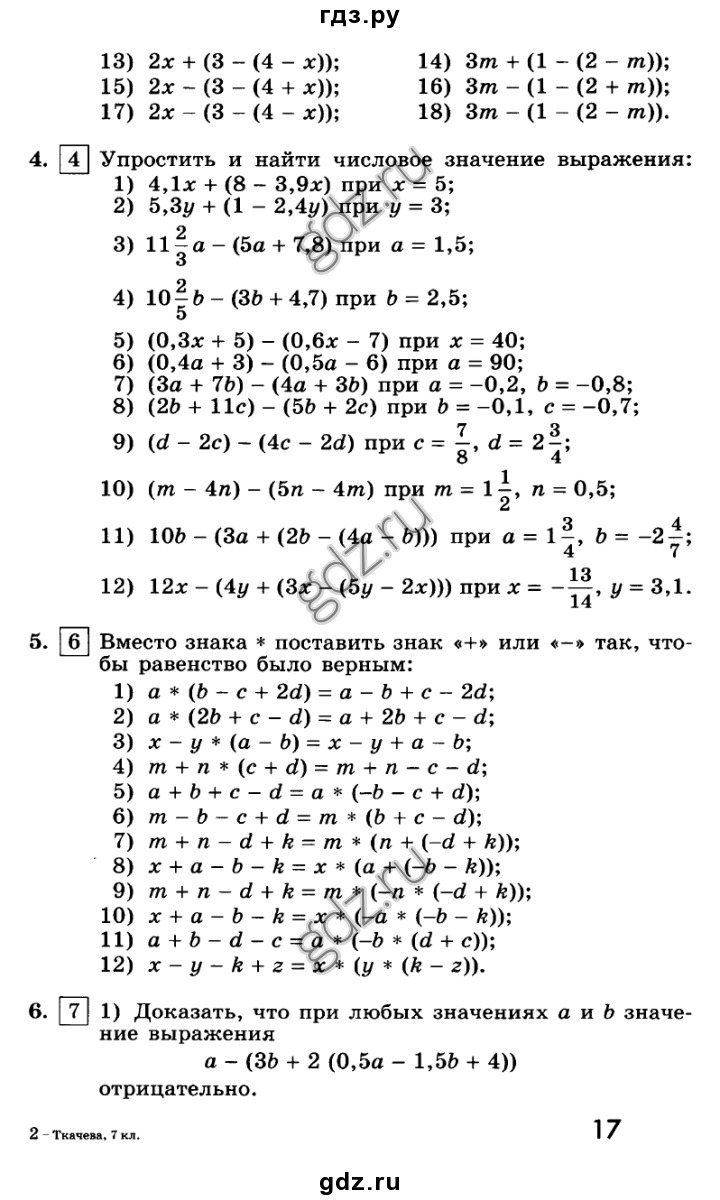
4)52/5b-3b+4.7=52/5b-15/5b+4.7=37/5b+4.7
при b=2.5, 37*25/5*10+4.7=18.5+4.7=23.2
5)(0.3x+5)-(0.6x-7)=0.3x+5-0.6x+7=-0.3x+12
при x=40, -0.3*40+12=-12+12=0
6)(0.4a+3)-(0.5a-6)=0.4a+3-0.5a+6=-0.1a+9
при a=90, -0.1*90+9=-9+9=0
7)(3a+7b)-(4a+3b)=3a+7b-4a-3b=-a+4b
при a=-0.2, b=-0.8, -0.2+4*(-0.8)=-0.2-3.2=-3.4
8)2b+11c-b-c=-3b+9c
при b=-0.1, c=-0.7, -3*(0.1)+9(-0.7)=-0.3-6.3=-6.6
9)(d-2c)-(4c-2d)=d-2c-4c+2d=3d-6c
при c=7/8, d=2 3/4, 3*11/4-6*7/8=3*11-7/4=33-7/4=26/4=6.5
№5
1) -
2) +
3) +
4) -
5) -
6) -
7) +
8) +
9) + +
10) + -
11) - +
12) + +
4)52/5b-3b+4.7=52/5b-15/5b+4.7=37/5b+4.7
при b=2.5, 37*25/5*10+4.7=18.5+4.7=23.2
5)(0.3x+5)-(0.6x-7)=0.3x+5-0.6x+7=-0.3x+12
при x=40, -0.3*40+12=-12+12=0
6)(0.4a+3)-(0.5a-6)=0.4a+3-0.5a+6=-0.1a+9
при a=90, -0.1*90+9=-9+9=0
7)(3a+7b)-(4a+3b)=3a+7b-4a-3b=-a+4b
при a=-0.2, b=-0.8, -0.2+4*(-0.8)=-0.2-3.2=-3.4
8)2b+11c-b-c=-3b+9c
при b=-0.1, c=-0.7, -3*(0.1)+9(-0.7)=-0.3-6.3=-6.6
9)(d-2c)-(4c-2d)=d-2c-4c+2d=3d-6c
при c=7/8, d=2 3/4, 3*11/4-6*7/8=3*11-7/4=33-7/4=26/4=6.5
№5
1) -
2) +
3) +
4) -
5) -
6) -
7) +
8) +
9) + +
10) + -
11) - +
12) + +
Ответ дал:
0
мне только номер 4 нужен. дай ответы пожалуйста за 10) 11) 12) пожалуйста
Ответ дал:
0
10)m-4n-5n+4m=5m-9n при m=1 1/2, n=0.5, 5*3/2-9*0.5=15/2-4.5=7.5-4.5=3
Ответ дал:
0
11)10b-(3a+2b-4a+b)=10b-3a-2b+4a-b=7b+a при a=1 3/4, b=-2 4/7, -7*18/7+7/4=-18+7/4=-72/4+7/4=65/4=16.25
Ответ дал:
0
а 12 я хз
Вас заинтересует
2 года назад
2 года назад
7 лет назад
9 лет назад
9 лет назад
10 лет назад