Ответы
Ответ дал:
0
!!!!!!!!!!!!!!!!!!!!!!!!!!!!!!
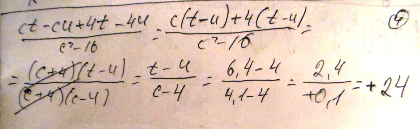
Приложения:


Ответ дал:
0
Спасибо большое!)
Ответ дал:
0
пожалуйста, но нажми еще красное сердечко "спасибо"
Вас заинтересует
2 года назад
2 года назад
7 лет назад
7 лет назад
9 лет назад
9 лет назад
10 лет назад