• Предмет: Алгебра
  • Автор: AzizovaAnna201
  • Вопрос задан 9 лет назад

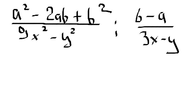
Помогите с алгебраической дробью пожалуйста:)

Приложения:

Ответы

Ответ дал: jansulu799
0
a^2-2ab+b^2/9x^2-y^2:b-a/3x-y=(a-b)^2/(3x-y)(3x+y):b-a/3x-y=(a-b)^2/(3x-y)(3x+y)*3x-y/(b-a)*(-1)=далее сокращается=a-b/3x+y;Ответ:a-b/3x-y; /-дробь
Ответ дал: jansulu799
0
Извини,не учла -1;Ответ:a-b/y-3x
Вас заинтересует