Каждый столбик новый пример
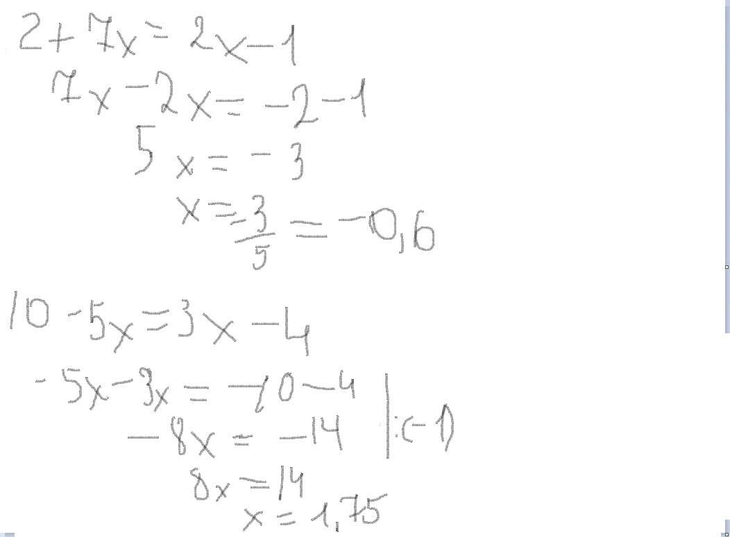
2+7x=2x-1
10-5x=3x-4
-2+5x=-5x+4
6(5-x)=-8x-7
-8(10+7x)=4x+7
-9-2(5-x)=-3x+9
7x-9(2+9x)=2x+6
x-3-4(x+1)=5(4-x)-1
Ответы
Ответ дал:
0
1)2+7х=2х-1
7х-2х=-2-1
5х=-3
х=-0,6
2)10-5х=3х-4
-3х-5х=-10-4
-8х=-14
х=1,75
3)-2+5х=-5х+4
5х+5х=2-4
10х=-2
х=-0,2
4)6(5-х) =-3х+9
30-6х=-3х+9
3х-6х=-30+9
-3х=-21
х=7
5)-8(10+7х)=4х+7
-80-56х=4х+7
-4х-56х=80+7
-60х=87
х=-1,45
6)-9-2(5-х) =-3х+9
-9-10+2х=-3х+9
3х+2х=9+10+9
5х=28
х=5,6
7)------
8)х-3-4(х+1)=5(4-х) -1
х-3-4х-4=20-5х-1
х-4х+5х=3+4+20-1
2х=26
х=13
Проверь 7 пример, может со знаками ошибся(лась)...
7х-2х=-2-1
5х=-3
х=-0,6
2)10-5х=3х-4
-3х-5х=-10-4
-8х=-14
х=1,75
3)-2+5х=-5х+4
5х+5х=2-4
10х=-2
х=-0,2
4)6(5-х) =-3х+9
30-6х=-3х+9
3х-6х=-30+9
-3х=-21
х=7
5)-8(10+7х)=4х+7
-80-56х=4х+7
-4х-56х=80+7
-60х=87
х=-1,45
6)-9-2(5-х) =-3х+9
-9-10+2х=-3х+9
3х+2х=9+10+9
5х=28
х=5,6
7)------
8)х-3-4(х+1)=5(4-х) -1
х-3-4х-4=20-5х-1
х-4х+5х=3+4+20-1
2х=26
х=13
Проверь 7 пример, может со знаками ошибся(лась)...
Ответ дал:
0
Слишком мало баллов для решения стольких уравнений
Но они очень легкие!Как их можно не решить?!
Но они очень легкие!Как их можно не решить?!
Приложения:





Ответ дал:
0
х-3-4(х+1)=5(4-х)
Ответ дал:
0
х-3-4х-4=20-5х-1
Ответ дал:
0
1х-4х+5х=3+4+20-1
Ответ дал:
0
2х=26
Ответ дал:
0
х=13
Вас заинтересует
2 года назад
2 года назад
7 лет назад
7 лет назад
9 лет назад