• Предмет: Математика
  • Автор: Аноним
  • Вопрос задан 9 лет назад

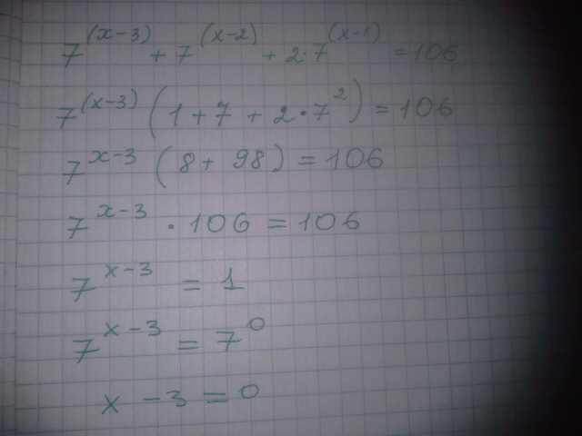
7^(x-3) + 7^(x-2) + 2 * 7^(x-1) = 106

Приложения:

Ответы

Ответ дал: vzural74
0
Уравнение:7^(x-3) + 7^(x-2) + 2 * 7^(x-1) = 106
Ответ:x=3
Вольфрам вам в помощь

Приложения:
Ответ дал: Аноним
0
Я ответ знаю, как подробно это получить
Ответ дал: elviradar
0
можно еще раз доавить вопрос, я не могу отправить рис.
Ответ дал: elviradar
0
последняя строчка не попала)))) х=3
Приложения:
Ответ дал: Аноним
0
А вторую строчку как получить, я не понимаю?
Ответ дал: elviradar
0
я вынесла за скобки 7^(х-3)
Ответ дал: Аноним
0
Ааа всё допёрло. Спасибо большое
Ответ дал: elviradar
0
ну вот и молодец)))
Вас заинтересует