• Предмет: Информатика
  • Автор: Мелкая22
  • Вопрос задан 9 лет назад

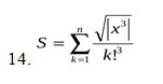
помогите пожалуйста составить блок-схему

Приложения:

Ответа на этот вопрос пока нет. Попробуйте найти его через форму поиска.

Вас заинтересует