Ответы
Ответ дал:
0
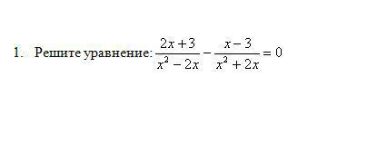
1) домножаем 2x+3)/(x2-2x)-(x-3)/(x2+2x)=0 на (x ^2-2x) (x ^2+2x)
2) 2x+3(x ^2+2x)-(x ^2-2x)x-3=0
3) (2x ^3+4x ^2+3x ^2+6x)-x ^3-2x ^2-3x ^2+6x)
3) 2x ^3+4x ^2+3x ^2+6x+ x ^3+2x ^2+3x ^2-6x=0
2) 2x+3(x ^2+2x)-(x ^2-2x)x-3=0
3) (2x ^3+4x ^2+3x ^2+6x)-x ^3-2x ^2-3x ^2+6x)
3) 2x ^3+4x ^2+3x ^2+6x+ x ^3+2x ^2+3x ^2-6x=0
Вас заинтересует
3 года назад
7 лет назад
10 лет назад
10 лет назад
10 лет назад