Найти все значения параметра а, при которых уравнение имеет ровно одно решение. Уравнение на прикреплённой картинке.
Приложения:

Ответы
Ответ дал:
0
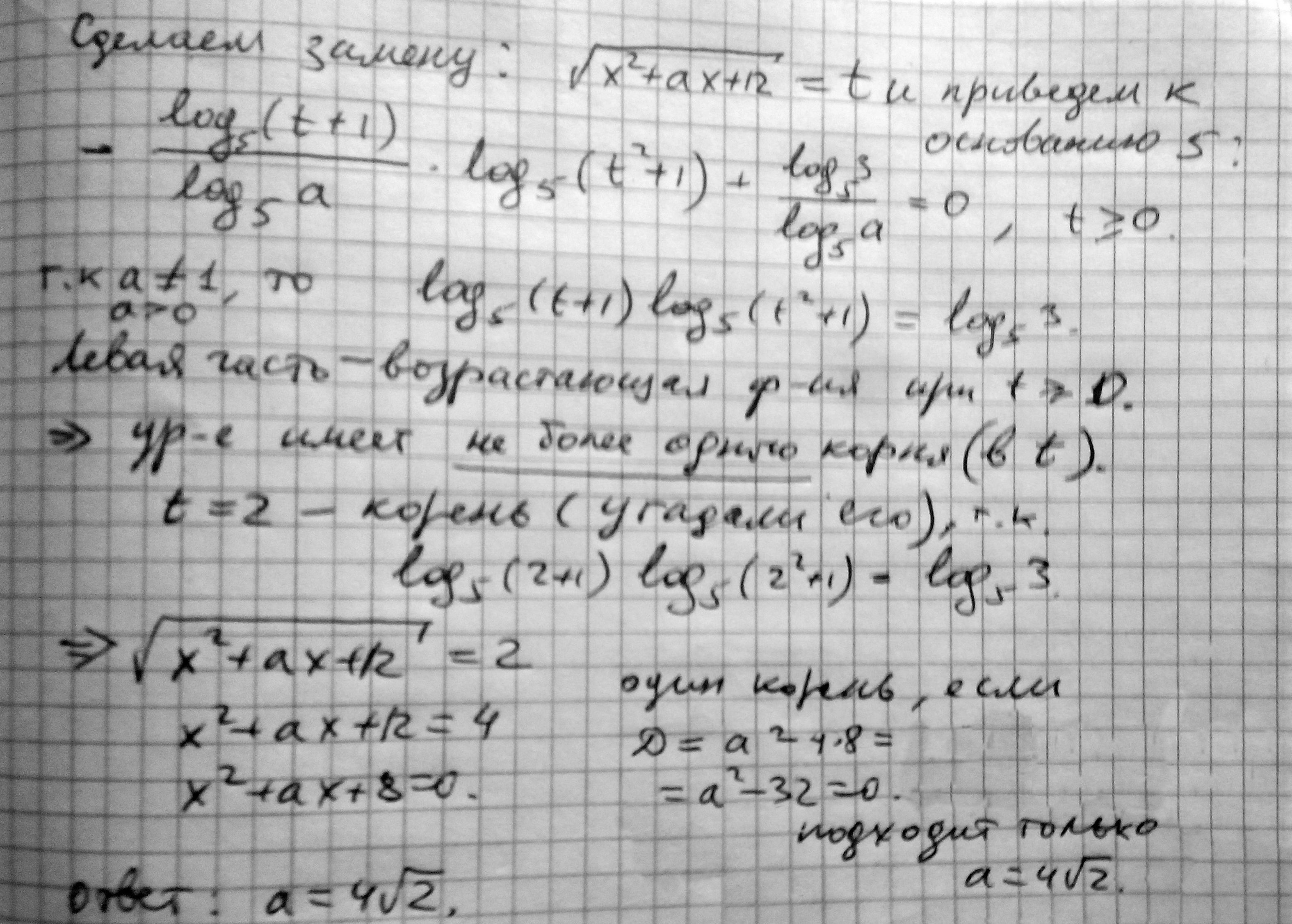
Решение прицеплено в картинке
Приложения:

Ответ дал:
0
Как быть с потерянным минусом? При переносе логарифма от 3 по основанию 5 в правую часть потерян минус.
Ответ дал:
0
Нет, ничего не потеряно. Первое слагаемое было с минусом. Его мы перенесли в левую часть.
Ответ дал:
0
т.е. в правую
Ответ дал:
0
Было выражение -А+B=0. Оно равносильно А=B
Ответ дал:
0
Извините, не поняла ,что это минус. Теперь мне всё ясно. Спасибо за подробность
Вас заинтересует
2 года назад
2 года назад
7 лет назад
7 лет назад
9 лет назад
10 лет назад