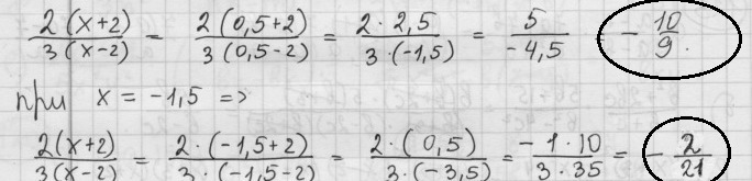
Ребят, как получилась эта дробь? Так можно вообще умножить и какое это правило?8 КЛАСС
Приложения:

Ответы
Ответ дал:
0
Первую дробь умножили на два
А вторую разделили на 5
А вторую разделили на 5
Ответ дал:
0
Зачем это делать и так можно вообще?
Ответ дал:
0
Можно,что бы ответ был понятнее
Ответ дал:
0
Все,спасибо)
Вас заинтересует
2 года назад
7 лет назад
7 лет назад
9 лет назад
9 лет назад
10 лет назад
10 лет назад