Ответы
Ответ дал:
1
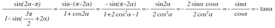
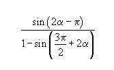
решение смотри во вложении
Приложения:

Вас заинтересует
2 года назад
7 лет назад
7 лет назад