Ответы
Ответ дал:
0
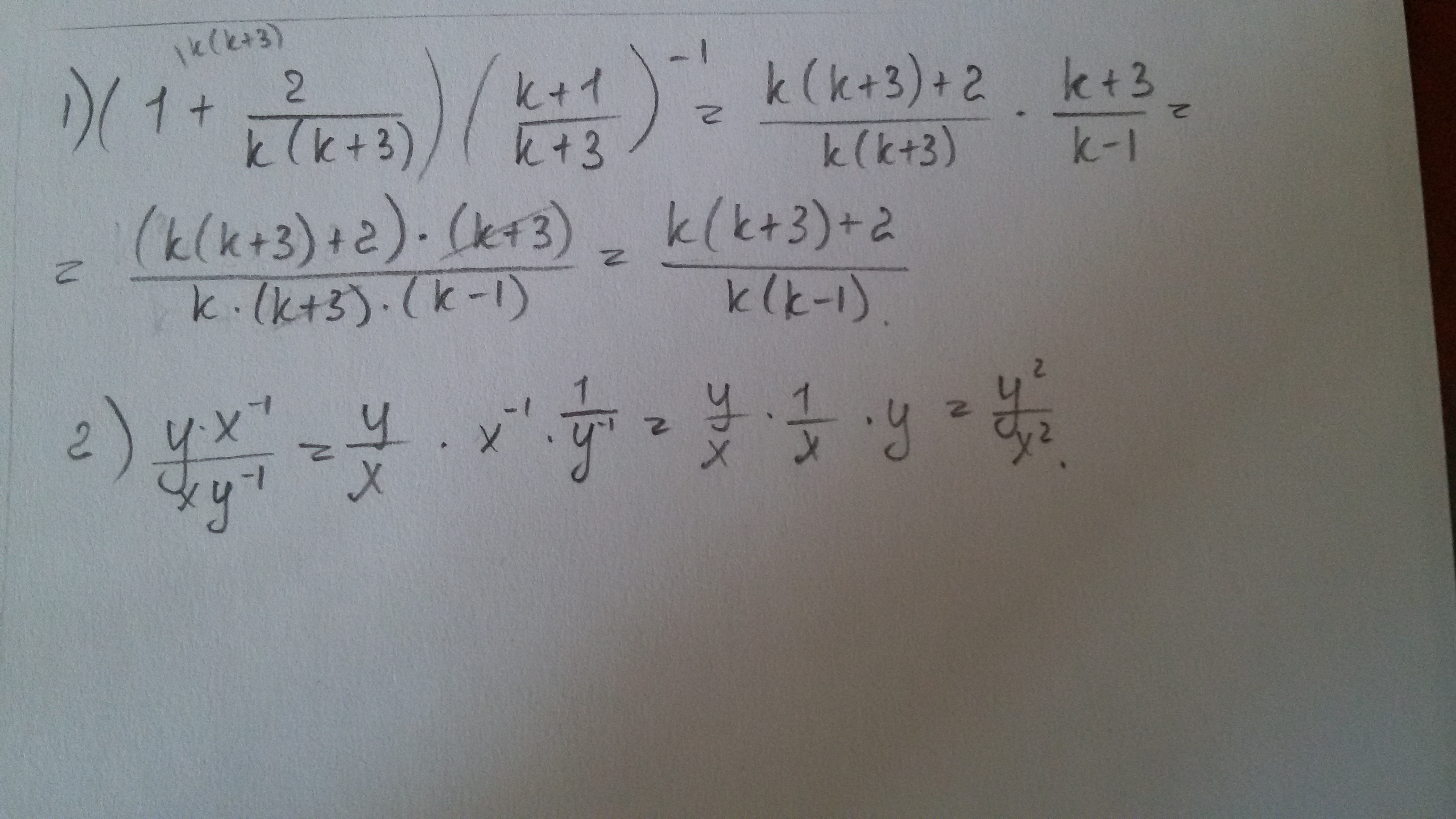
Только если так, если я правильно понимаю твою растановку степеней
Приложения:

Вас заинтересует
2 года назад
7 лет назад
7 лет назад
9 лет назад
9 лет назад
10 лет назад