• Предмет: Алгебра
  • Автор: марияяяч
  • Вопрос задан 9 лет назад

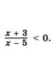
помогите решить пожалуйста

Приложения:

Ответы

Ответ дал: mark790
0
Ща решим , погодь))))
Ответ дал: марияяяч
0
спасиб жду
Вас заинтересует