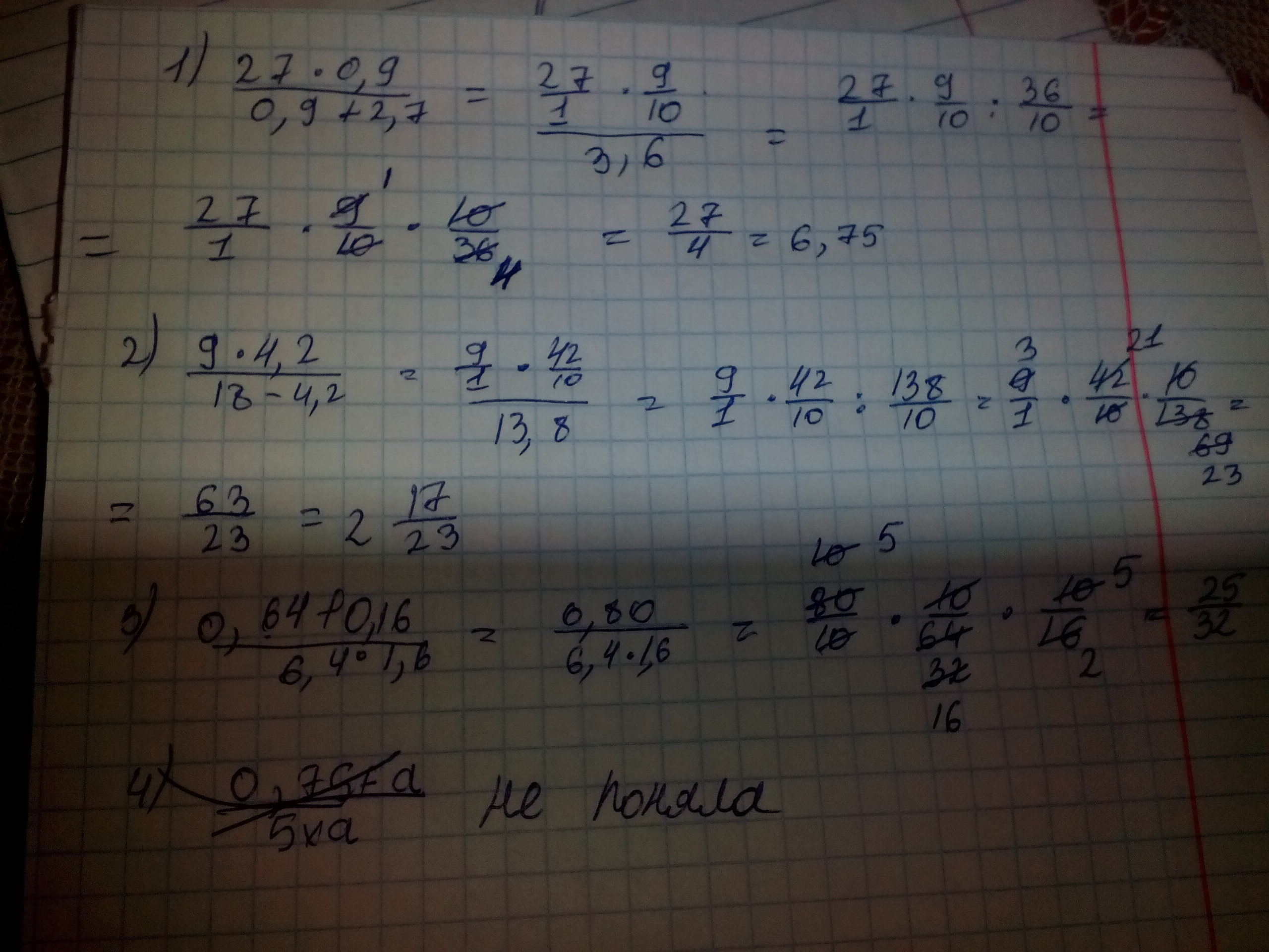
Найди значение дробного выражения.
а) 27х0,9
_____
0,9+2,7
б)9х4,2
_____
18-4,2
в)0,64+0,16
_______
6,4х1,6
г)0,75+а ,если а = 1,6;1; 8
_____ _
5ха 5
_
8
Ответы
Ответ дал:
0
Как-то так, если вдруг медицинский почерк не поняли)), то пишите.
Приложения:

Вас заинтересует
7 лет назад
9 лет назад
9 лет назад
10 лет назад