СРОЧНО ПОМОГИТЕ ПОЖАЛУЙСТА!!!
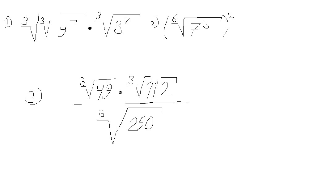
1) квадратный корень в третьей степени в квадратном корне в третьей степени из 9 умноженный на квадратный корень в девятой степени из 3^7 ..........∛∛9*x^(1/9)3^7,
2) Квадратный корень в шестой степени из 7^3 всё в это скобках из степени 2 .........(x^(1/6) 7^3)^2,
3) Квадратный корень в третьей степени из 49 умноженный на квадратный корень в третьей степени из 112 и делённый на квадратный корень в третьей степени из 205 .........∛49*∛112 / ∛250
P.S. Если можете картинкой решение скиньте
Приложения:

Ответы
Ответ дал:
0
вот ответы. сами выражения я не записывала, сразу начала с решения)
Приложения:

Вас заинтересует
2 года назад
2 года назад
7 лет назад
7 лет назад
9 лет назад
10 лет назад
10 лет назад