Ответы
Ответ дал:
0
4^(9x-6)/2=7^(3x-2)/2
4^6(3x-2)/2=7^(3x-2)/2
64^(3x-2)/2=7^(3x-2)/2
(64/7)^(3x-2)/2=1
(3x-2)/2-0
3x-2=0
3x=2
x=2/3
4^6(3x-2)/2=7^(3x-2)/2
64^(3x-2)/2=7^(3x-2)/2
(64/7)^(3x-2)/2=1
(3x-2)/2-0
3x-2=0
3x=2
x=2/3
Ответ дал:
0
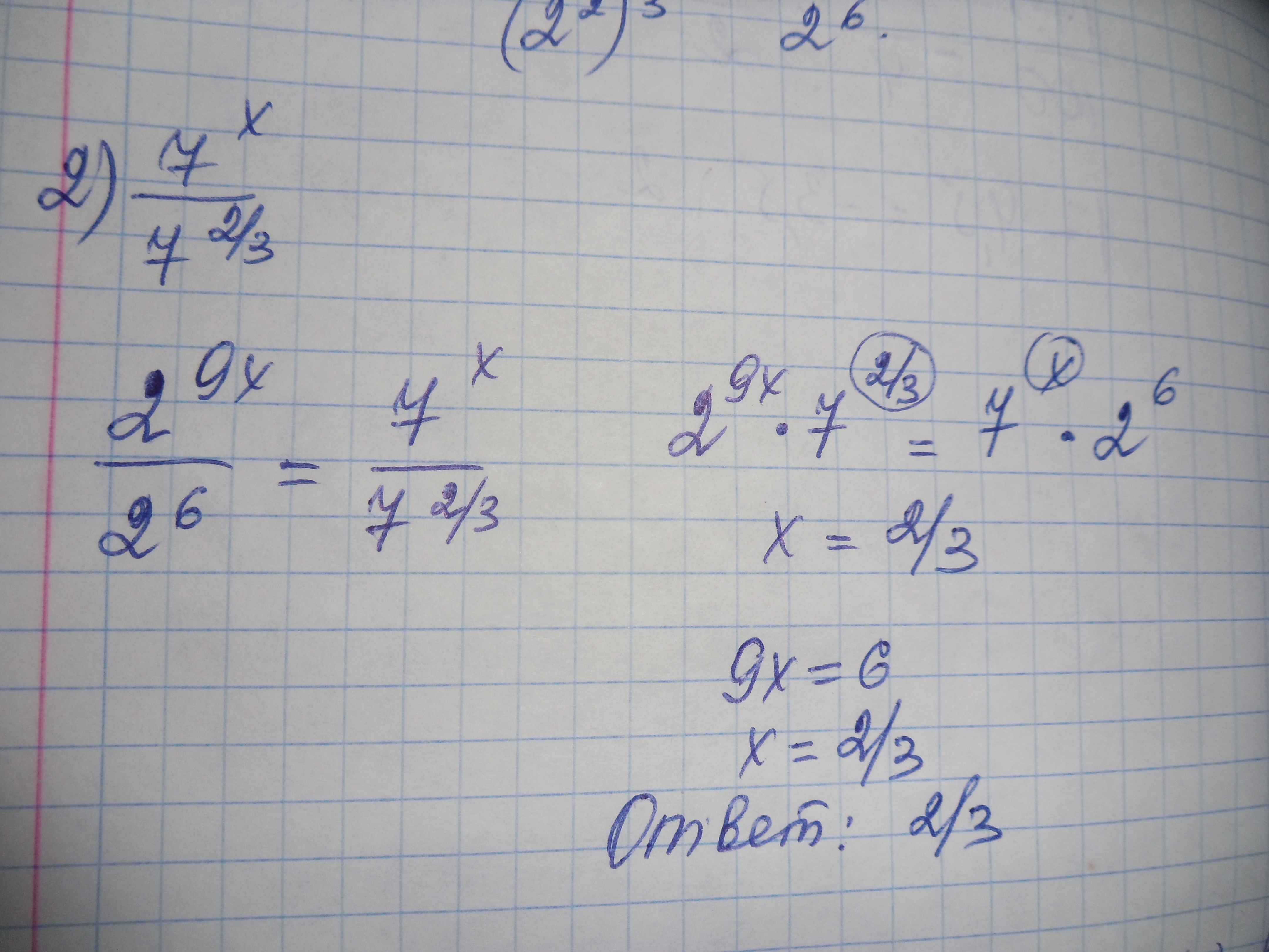
решение во вложении........
Приложения:

Ответ дал:
0
надо бы и степень при 2 рассмотреть,а вдруг не равны
Вас заинтересует
2 года назад
7 лет назад
9 лет назад
9 лет назад
10 лет назад