Помогите с самостоятельной работой) Пожалуйста)) Очень прошу. На фотографиях все нужные номера
1.26
1.32 (график б)
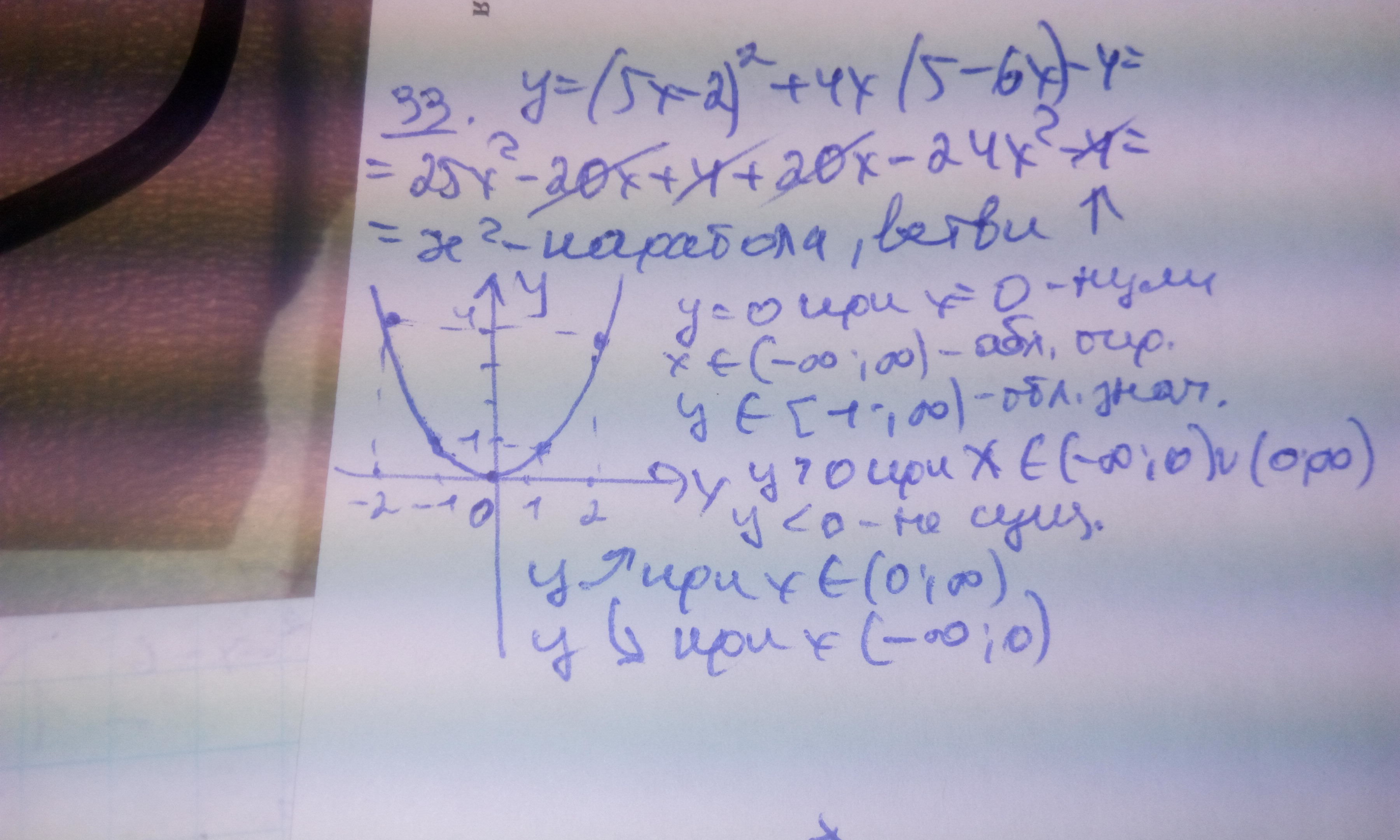
1.33
Приложения:




Ответы
Ответ дал:
0
Решение смотри на фото.
Приложения:


Вас заинтересует
2 года назад
2 года назад
7 лет назад
7 лет назад
9 лет назад
9 лет назад
10 лет назад
10 лет назад