• Предмет: Алгебра
  • Автор: vekell
  • Вопрос задан 9 лет назад

помогите мне алгебра 7 класс номер 94

Ответы

Ответ дал: edieka22
0
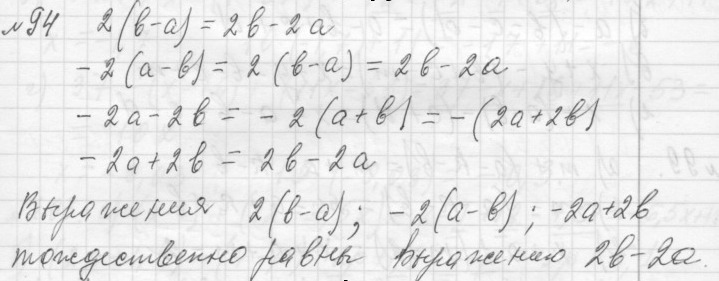
Вот это задание?.........................................

Приложения:
Вас заинтересует