Ответы
Ответ дал:
0
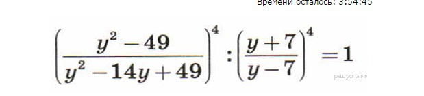
Вообщем у не 7 и -7 а так любое число
Приложения:

Вас заинтересует
2 года назад
7 лет назад
7 лет назад
9 лет назад
9 лет назад
10 лет назад
10 лет назад