• Предмет: Физика
  • Автор: aina05022001
  • Вопрос задан 9 лет назад

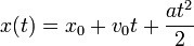
напишите формулу координаты тела при равноускоренном прямолинейном движении

Ответы

Ответ дал: NewtonA5
0
Вот, формула координаты тела при равноускоренном прямолинейном движении.

Приложения:
Вас заинтересует