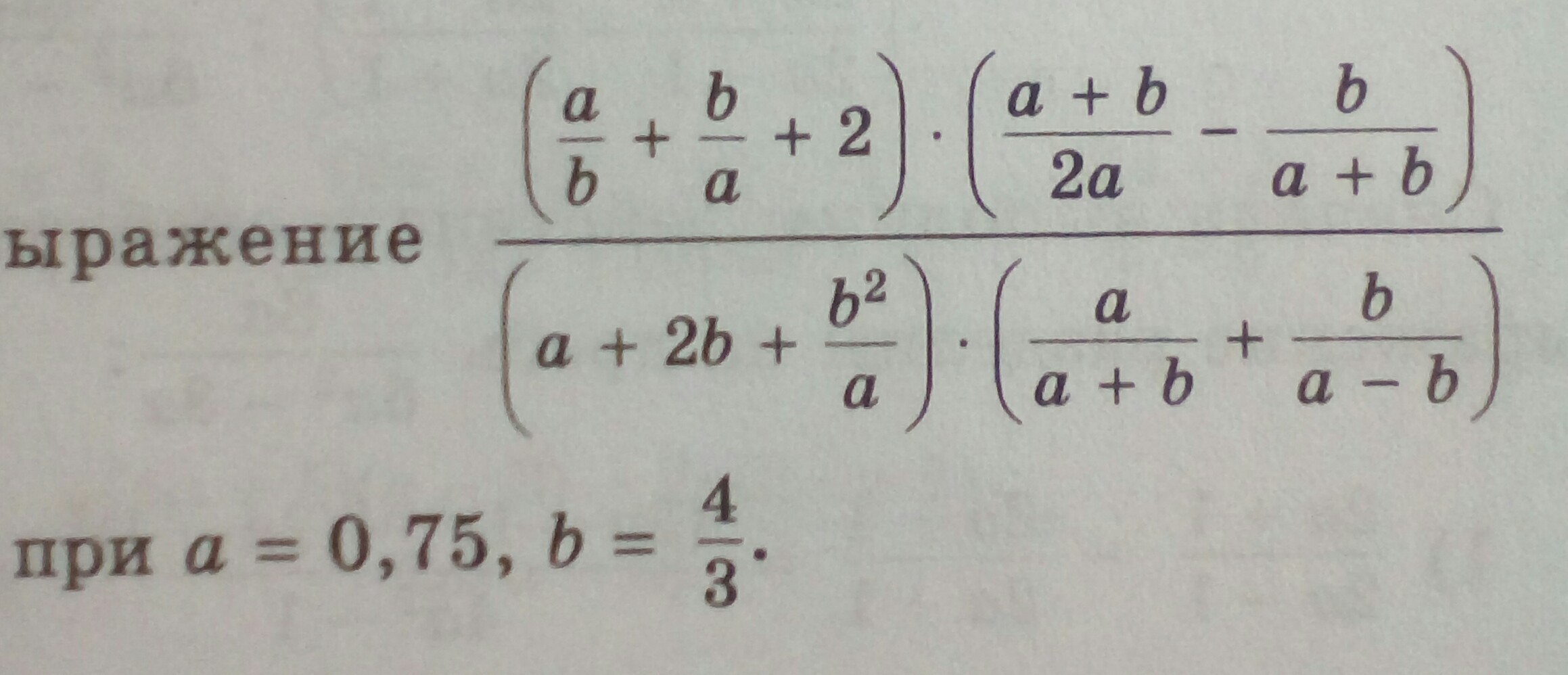
Помогите упростить выражение
Я привела множители к общему знаменателю,а дальше ступор):
Приложения:
Ответы
Ответ дал:
0
Я думаю, что так.Надеюсь, что помогла:з
Приложения:
Вас заинтересует
2 года назад
2 года назад
7 лет назад
7 лет назад
10 лет назад
10 лет назад
10 лет назад