Ответы
Ответ дал:
0
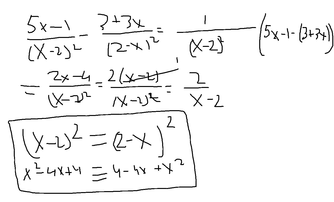
Знаменатели дробей равны между собой, поэтому нужно вынести любой из них за скобки. и дальше упрощать. Внизу в рамке я доказал что знаменатели равны. успехов
Приложения:

Вас заинтересует
2 года назад
7 лет назад
9 лет назад
9 лет назад