• Предмет: Геометрия
  • Автор: Аноним
  • Вопрос задан 9 лет назад

Пожалуйста, срочно нужно :(

Приложения:

Ответы

Ответ дал: kirichekov
0
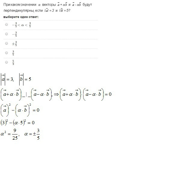
решение во вложении---------------------
Приложения:
Вас заинтересует