Ответы
Ответ дал:
0
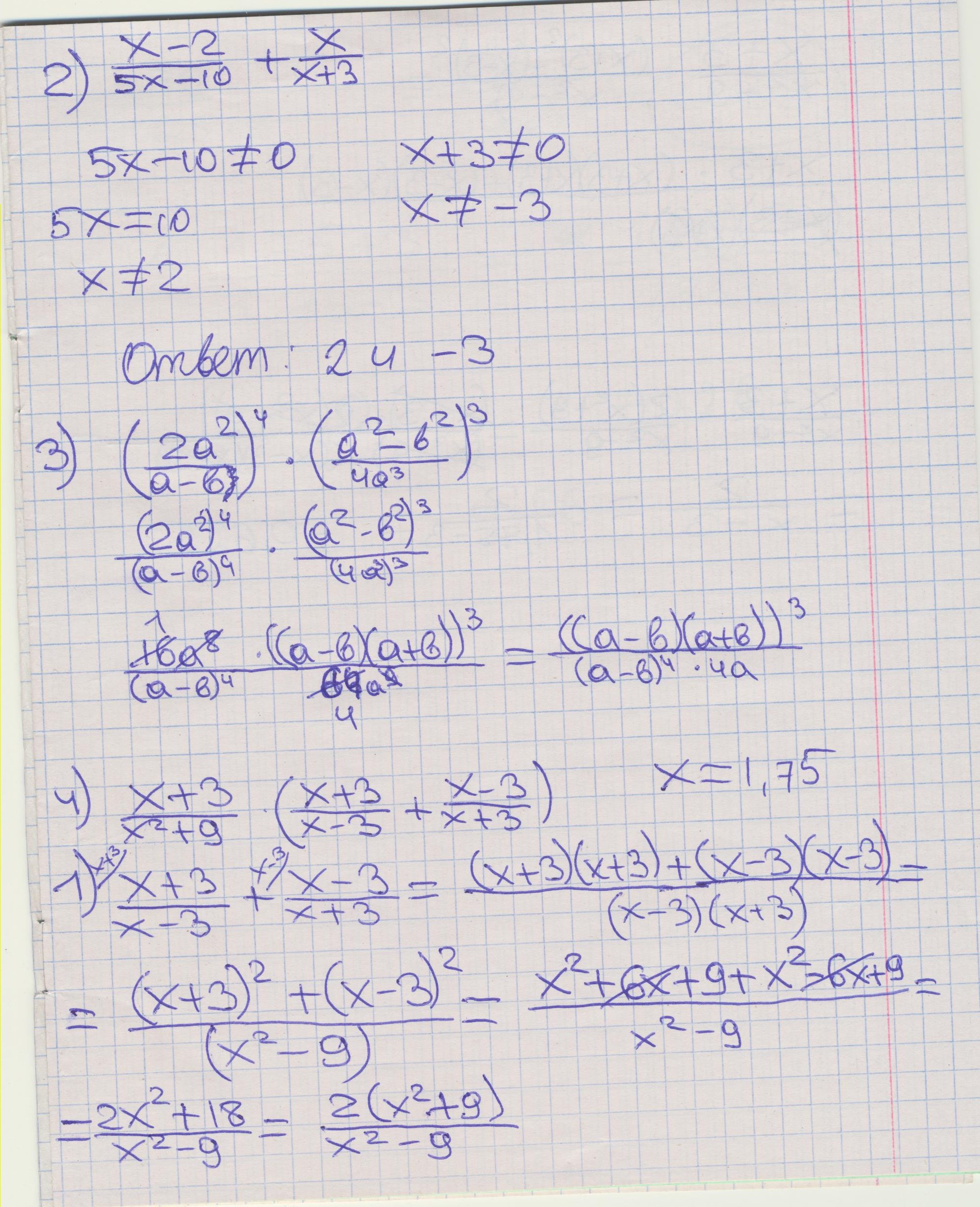
во 2ом число снизу не должно ровняться нулю, делить на ноль нельзя
в 3 я не придумал ничего лучше , посмотри в тетради, может вы делали похожие примеры
в 3 я не придумал ничего лучше , посмотри в тетради, может вы делали похожие примеры
Приложения:



Ответ дал:
0
в 1 задании в ответе точно в числителе -22 с х?
Вас заинтересует
7 лет назад
9 лет назад
9 лет назад