Ответы
Ответ дал:
0
второе не отправлю, т.к больше одной фотки прикрепить нельзя, но там в ответе должно быть (2;1) ( первое число это х, а втрое у) ######
Приложения:

Ответ дал:
0
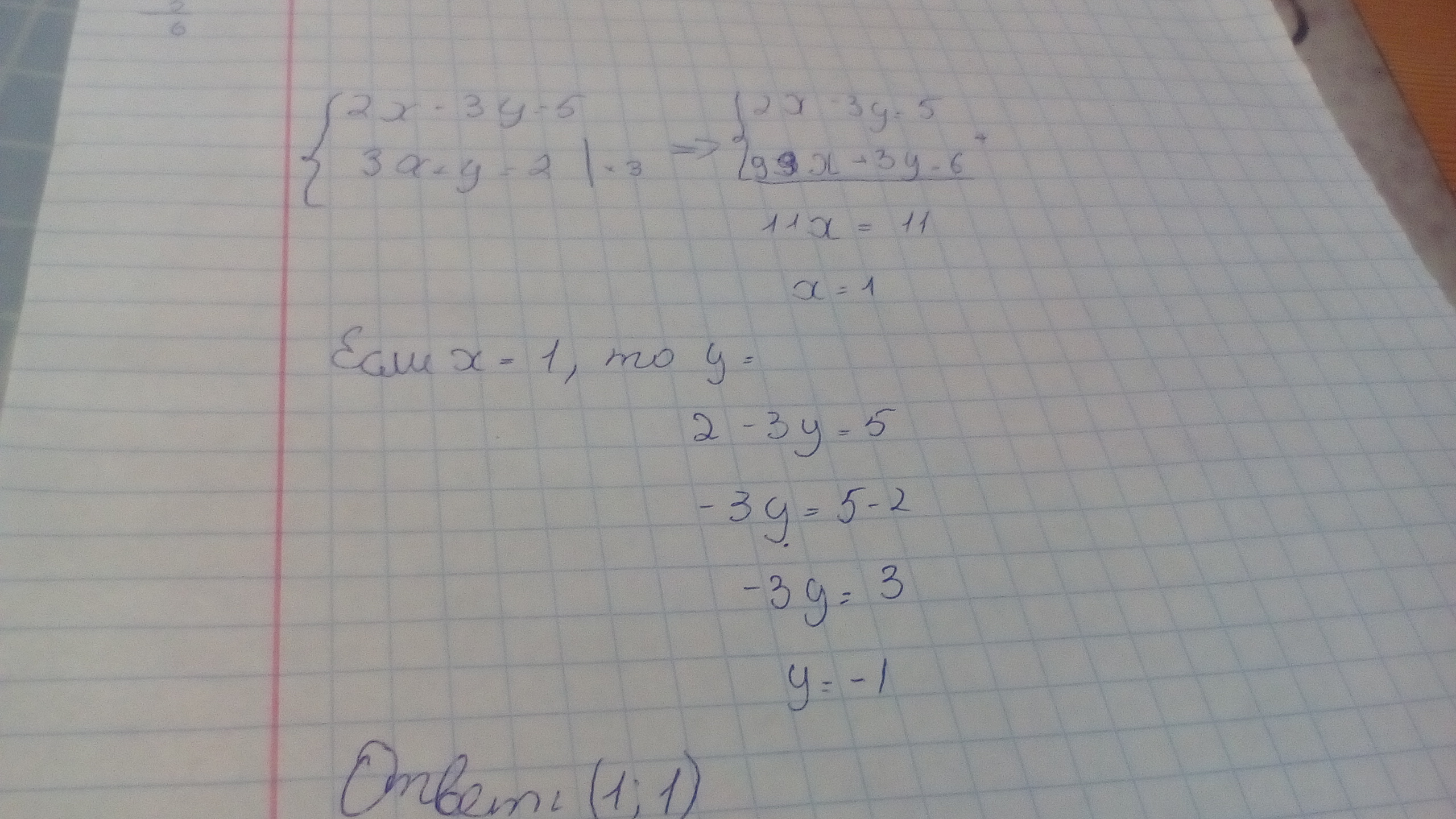
1)
2x-3y=5
3x+y=2
Из второго уравнения: y = 2-3x
Подставляем в первое:
2x-3*(2-3x)=5
2x-6+9x=5
11x = 11
x=1
т.к. y = 2-3x, то y=2-3*1=-1
Ответ: x=1
y=-1
2)
x-2y=0
x+3y=5
Из первого уравнения: x=2y
Подставляем во второе:
2y+3y=5
5y=5
y=1
т.к. x=2y, то x=2
Ответ: x=2
y=1
2x-3y=5
3x+y=2
Из второго уравнения: y = 2-3x
Подставляем в первое:
2x-3*(2-3x)=5
2x-6+9x=5
11x = 11
x=1
т.к. y = 2-3x, то y=2-3*1=-1
Ответ: x=1
y=-1
2)
x-2y=0
x+3y=5
Из первого уравнения: x=2y
Подставляем во второе:
2y+3y=5
5y=5
y=1
т.к. x=2y, то x=2
Ответ: x=2
y=1
Приложения:

Вас заинтересует
9 лет назад
9 лет назад
10 лет назад