• Предмет: Алгебра
  • Автор: mocor
  • Вопрос задан 9 лет назад

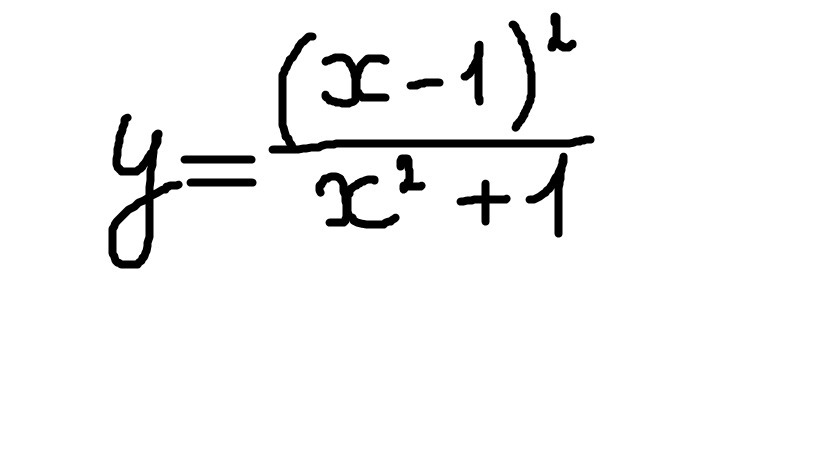
Помогите вычислить значение производной функции в точке х0=-1.
спасибо:3

Приложения:

Ответы

Ответ дал: AnastasiaLab
0

сначало мы считаем производную самого выражения

y'=(2(х-1)(x^2+1)-2x(х-1)^2)/((x^2+1)^2)=2(x^2-1)/(x^2+1)^2)

 а теперь подставляем значение x0

y'(-1)=(2*0)/4=0

Ответ дал: mocor
0
У меня так же получилось, спасибо)
Вас заинтересует