Ответы
Ответ дал:
0
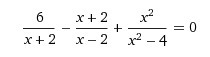
1. привести множитель к общему знаменателю: x2-4(x2- это x в квадрате)
6 x+2 x
(____ × x-2)- ( ____× x+2)+_____=0
x+2 x-2 x2-4
(6x-12)-(x2 + 2x + 2x +4)+ x
____________________=0
x2-4
6x-12-x2-4x-4+x
____________=0
x2-4
3x-8-x2
______=0
x2-4
чет дальше не получается
6 x+2 x
(____ × x-2)- ( ____× x+2)+_____=0
x+2 x-2 x2-4
(6x-12)-(x2 + 2x + 2x +4)+ x
____________________=0
x2-4
6x-12-x2-4x-4+x
____________=0
x2-4
3x-8-x2
______=0
x2-4
чет дальше не получается
Вас заинтересует
2 года назад
7 лет назад
7 лет назад
10 лет назад
10 лет назад
10 лет назад