• Предмет: Математика
  • Автор: akrivopuskova
  • Вопрос задан 9 лет назад

Помогите решить дз по математике

Все подробно напишите пожалуйста

Приложения:

Ответы

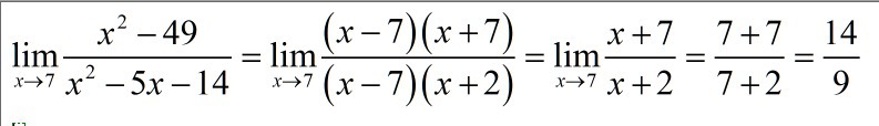
Ответ дал: Аноним
0
решение смотри во вложении
здесь х→7, но х≠7, поэтому можно делить на х-7
Приложения:
Вас заинтересует