• Предмет: Математика
  • Автор: akrivopuskova
  • Вопрос задан 9 лет назад

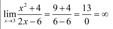
Вычислить предел функции: lim x^2+4/2x-6 (x стремиться к 3)

Ответы

Ответ дал: Аноним
0
решение смотри во вложении
Приложения:
Вас заинтересует