Вопрос по геометрической прогрессии.
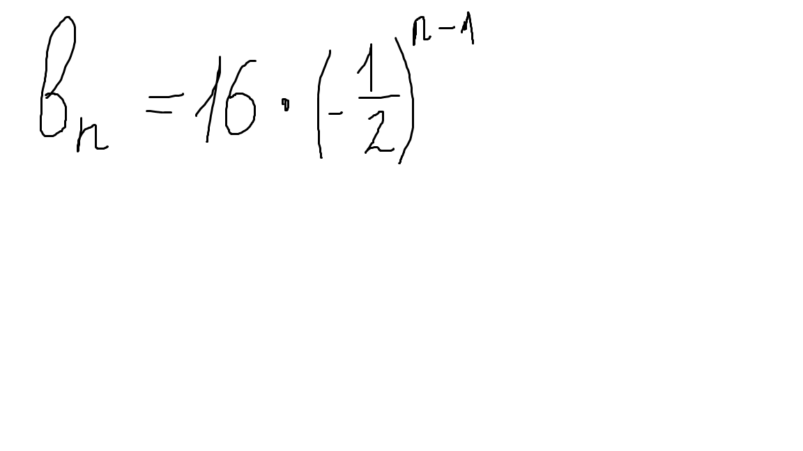
Дана формула геометрической прогрессии.
b1, понятно, равно 16. b 2 = -8
а вот b3, b4, b5 ?
чтобы найти b3, можно считать -8*0,5*0,5? или надо именно степень 1/2 ^2 ??
подскажите пожалуйста!!
Приложения:

Ответы
Ответ дал:
0
что бы найти б3 надо б2, т.е. -8 умножить на 0.5, следовательно б3 равно 4, б4 равно 2, б5 равно 1
Вас заинтересует
2 года назад
2 года назад
2 года назад
2 года назад
7 лет назад
9 лет назад
9 лет назад