• Предмет: Математика
  • Автор: supermaks01
  • Вопрос задан 9 лет назад

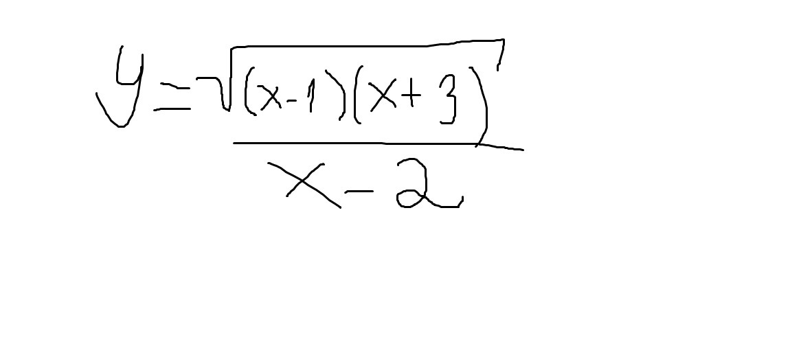
ПЛиз помогите тут нужно найти область определение данной функций

Приложения:

Ответы

Ответ дал: lena25073
0
х-2≠0
х≠2
х (-беск;2) и (2; +беск)
Вас заинтересует