• Предмет: Алгебра
  • Автор: cyanfan
  • Вопрос задан 9 лет назад

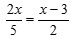
Решите уравнение на изображении:

Приложения:

Ответы

Ответ дал: asahivan75
0
4x=5x-15 -X=-15 X=15
Вас заинтересует