1,03*(42,114\0,3-112,08)+1,261 Пожалуйста найдите значение числового выражения со столбиками!! УМОЛЯЮ
Ответы
Ответ дал:
11
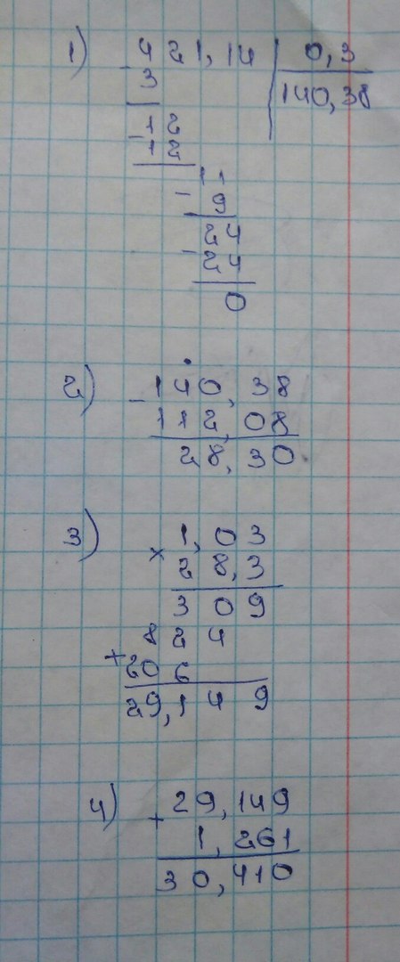
1,03·(42,114:0,3-112,08)+1,261=30,41
1) 42,114:0,3=140,38
2) 140,38-112,08=28,30=28.3
3) 1,03·28,3=29,149
4) 29,149+1,261=30,410=30,41
1) 42,114:0,3=140,38
2) 140,38-112,08=28,30=28.3
3) 1,03·28,3=29,149
4) 29,149+1,261=30,410=30,41
Приложения:
Вас заинтересует
2 года назад
2 года назад
7 лет назад
7 лет назад
9 лет назад
9 лет назад