• Предмет: Математика
  • Автор: Катерина3456
  • Вопрос задан 9 лет назад

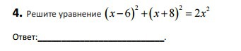
помогите пожалуйста решить

Приложения:

Ответы

Ответ дал: Arlert666
0
(х-6)²+(х+8)²=2х² Решение: 1. Раскроем скобки: х²-12х+36+х²+16х+64=2х²; 2) Приведем подобные слагаемые: х²+х²+16х-14х+36+64=2х²; 2х²+2х+100; 2х+100=2х²-2х²; 2х+100=0; 2х=-100; 3) Находим х: х=-100/2; х=-50. Ответ: х=-50.
Вас заинтересует