Ответы
Ответ дал:
0
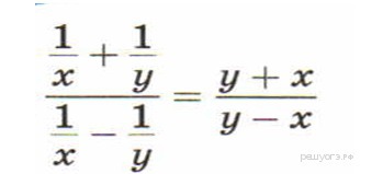
вот,тождество доказанно. х и у любые числа
Приложения:

Вас заинтересует
2 года назад
7 лет назад
7 лет назад
9 лет назад
10 лет назад