Ответы
Ответ дал:
0
не ответил, поэтому сделал, как увидел
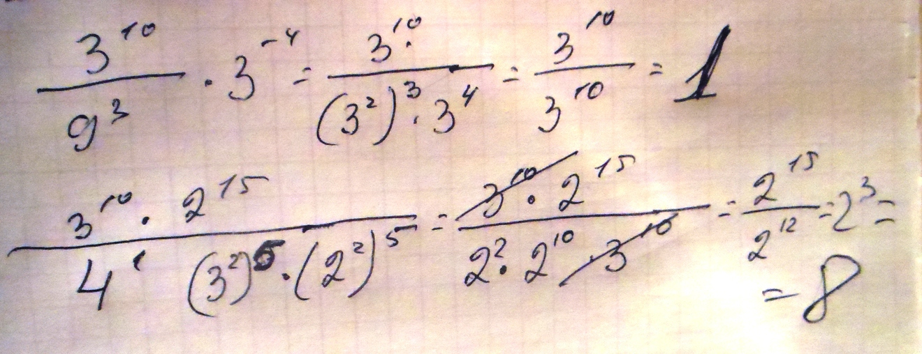
36⁵=4⁵*9⁵=(2²)⁵*(3²)⁵=2¹⁰*3¹⁰
36⁵=4⁵*9⁵=(2²)⁵*(3²)⁵=2¹⁰*3¹⁰
Приложения:

Ответ дал:
0
еще
Ответ дал:
0
у меня есть вопрос
Вас заинтересует
2 года назад
2 года назад
7 лет назад
9 лет назад
10 лет назад