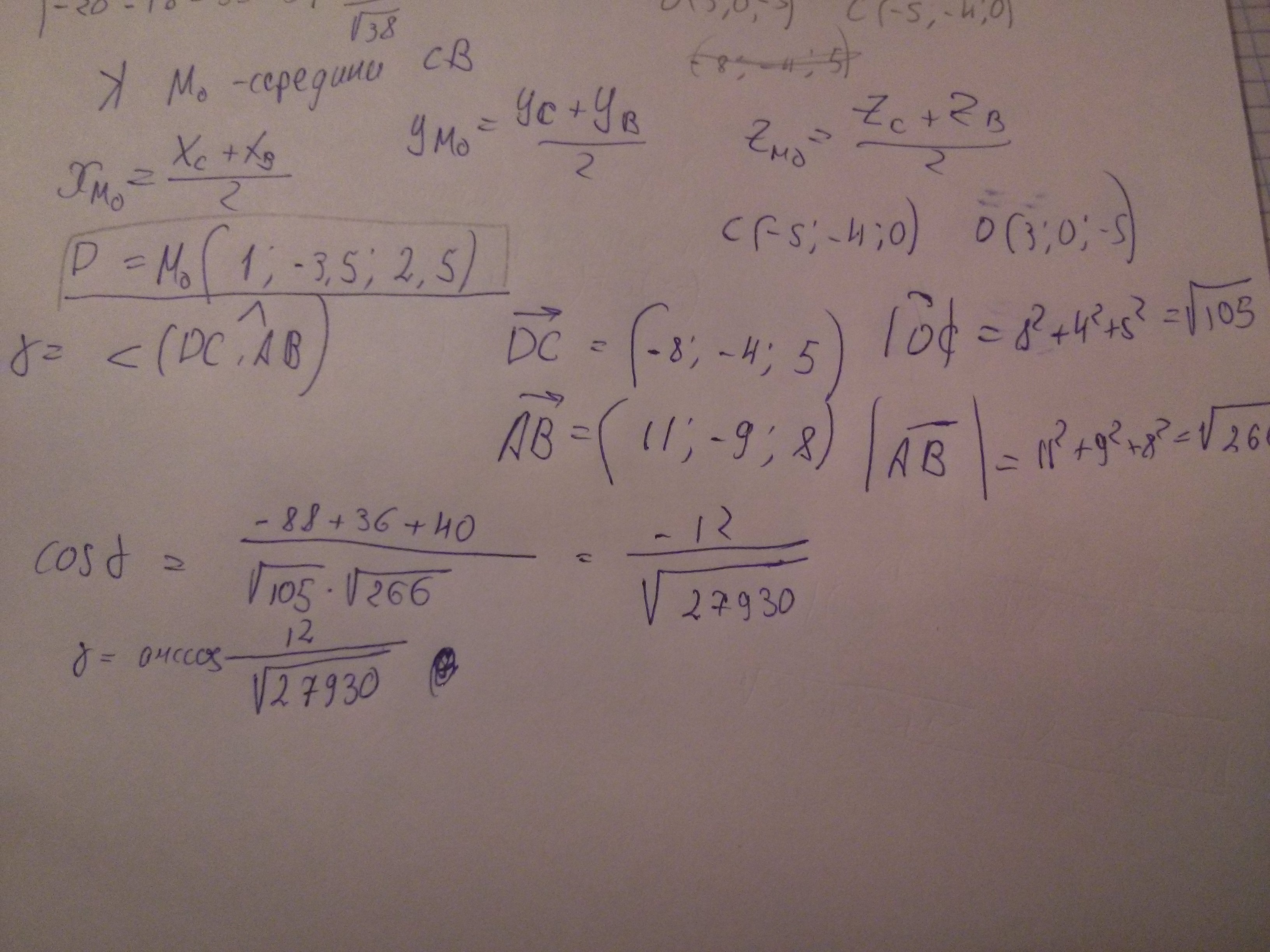
Даны точки А(-4,6,-3), В(7,-3,5), С(-5,-4,0), D(3,0,-5) найти координаты середины P отрезка СВ, угол между прямыми DС и АВ?
Ответы
Ответ дал:
0
Какой-то несуразный ответ вышел
Приложения:

Вас заинтересует
2 года назад
2 года назад
7 лет назад
7 лет назад
9 лет назад
9 лет назад
10 лет назад