Ответы
Ответ дал:
0
_____________________________________
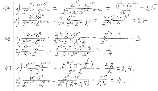
Приложения:

Вас заинтересует
2 года назад
9 лет назад