• Предмет: Алгебра
  • Автор: frutiss
  • Вопрос задан 3 года назад

хелп, пожалуйста!

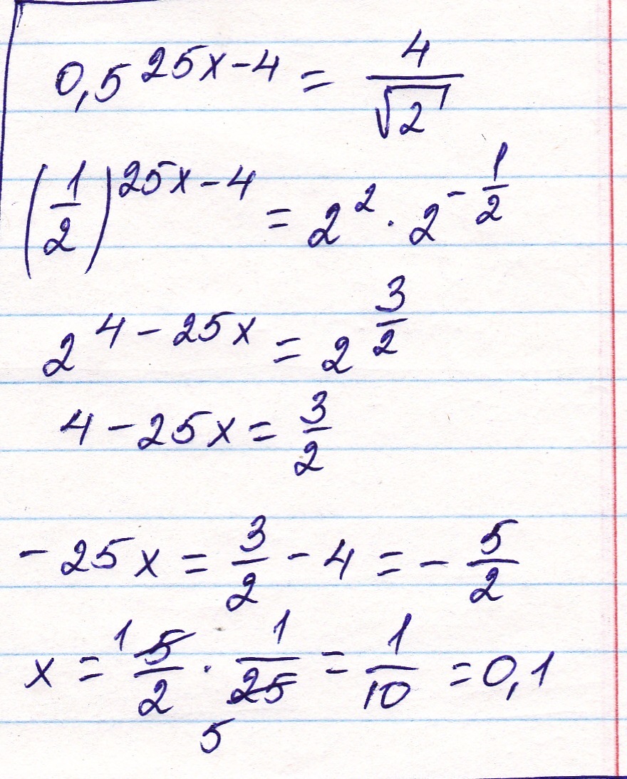
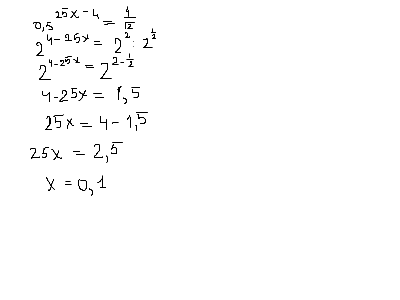
0,5^{25x-4}=4\sqrt{2}

Ответы

Ответ дал: Лерий
2

если непонятно, пиши в личку

Приложения:
Ответ дал: kenzhe
2

решение во влажении!

##########################################################################################################################################################################################################################################################################################################################################################################################################################################################################################################################################################################################################################

Приложения:
Вас заинтересует