• Предмет: Алгебра
  • Автор: sashastalnenko
  • Вопрос задан 9 лет назад

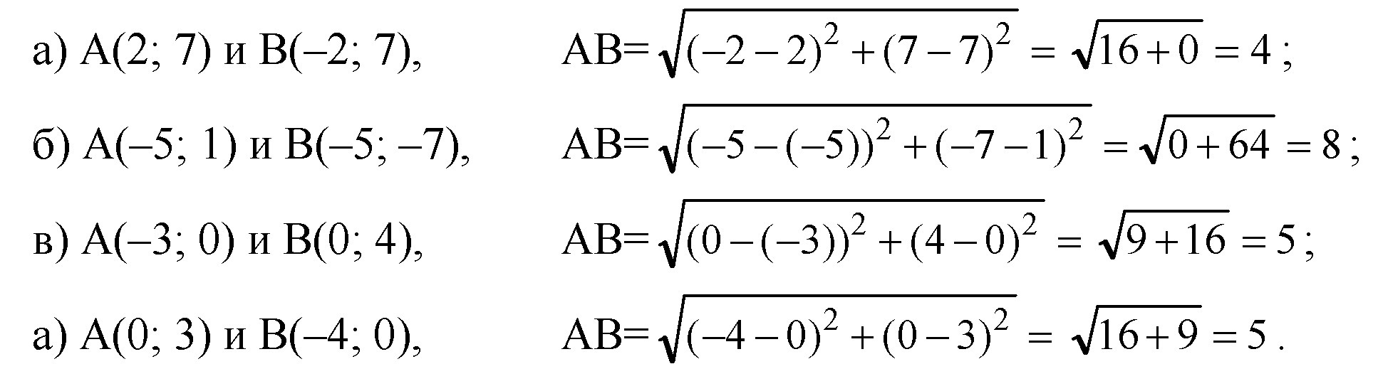
Найдите растение между точками А и В если : а) А (2;7) , В (-2;7) ; б) А (-5;1) , В (-5;-7)

Ответы

Ответ дал: tihonovich2016
0
Вроде это!!!!Надеюсь помогла!
Приложения:
Вас заинтересует