Ответы
Ответ дал:
0
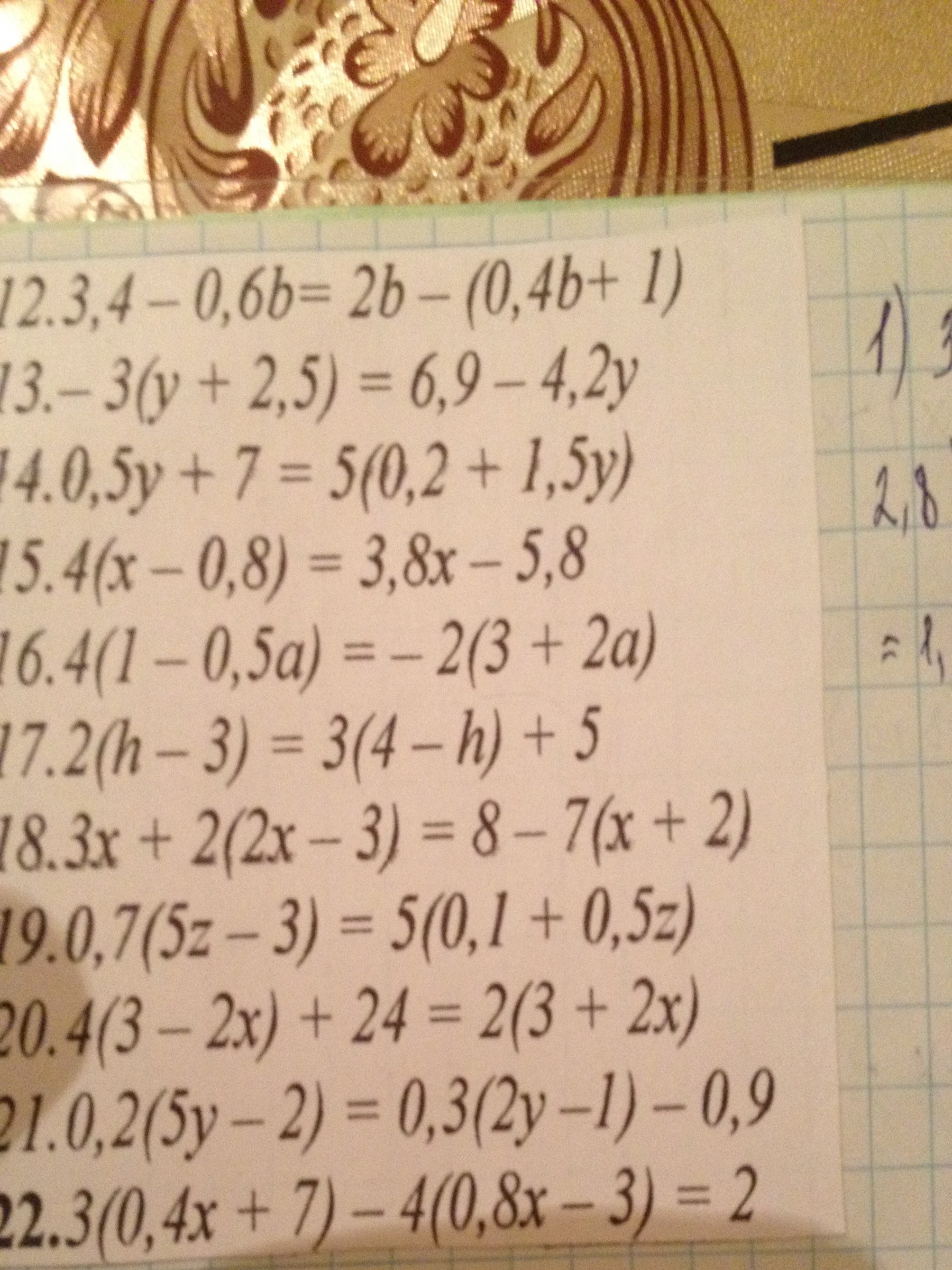
12. 3.4-0.6b=2b-(0.4b+1)
-0.6b-2b+0.4b=-4.4
-2.2b=-4.4
b=-4.4/-2.2=2
13. -3(y+2.5)=6.9-4.2y
-3y+4.2y=6.9+7.5
1.2y=14.4
y=12
14. 0.5y+7=5(0.2+1.5y)
0.5y-7.5y=1-7
-7y=-6
y=6/7=0.86
15. 4(x-0.8)=3.8x-5.8
4x-3.2=3.8x-5.8
4x-3.8x=-5.8+3.2
0.2x=-2.6
x=-13
16. 4(1-0.5a)=-2(3+2a)
4-2a=-6-4a
-2a+4a=-6-4
2a=-10
a=-5
17. 7.2(h-3)=3(4-h)+5
7.2h-21.6=12-3h+5
7.2h+3h=12+5+21.6
10.2h=38.6
h=3.78
18. 3x+2(2x-3)=8-7(x+2)
3x+4x-6=8-7x-14
7x+7x=8-14+6
14x=0
x=0
19. 0.7(5z-3)=5(0.1+0.5z)
3.5z-2.1=0.5+2.5z
3.5z-2.5z=0.5+2.1
z=2.6
20. 4(3-2x)+24=2(3+2x)
12-8x+24=6+4x
-8x-4x=6-12-24
-12x=-30
x=2.5
21. 0.2(5y-2)=0.3(2y-1)-0.9
y-0.4=0.6y-0.3-0.9
y-0.6y=-0.3-0.9+0.4
0.4y=-0.8
y=-2
22. 3(0.4x+7)-4(0.8x-3)=2
1.2x+21-3.2x+12=2
-2x=2-21-12
-2x=-31
x=15.5
-0.6b-2b+0.4b=-4.4
-2.2b=-4.4
b=-4.4/-2.2=2
13. -3(y+2.5)=6.9-4.2y
-3y+4.2y=6.9+7.5
1.2y=14.4
y=12
14. 0.5y+7=5(0.2+1.5y)
0.5y-7.5y=1-7
-7y=-6
y=6/7=0.86
15. 4(x-0.8)=3.8x-5.8
4x-3.2=3.8x-5.8
4x-3.8x=-5.8+3.2
0.2x=-2.6
x=-13
16. 4(1-0.5a)=-2(3+2a)
4-2a=-6-4a
-2a+4a=-6-4
2a=-10
a=-5
17. 7.2(h-3)=3(4-h)+5
7.2h-21.6=12-3h+5
7.2h+3h=12+5+21.6
10.2h=38.6
h=3.78
18. 3x+2(2x-3)=8-7(x+2)
3x+4x-6=8-7x-14
7x+7x=8-14+6
14x=0
x=0
19. 0.7(5z-3)=5(0.1+0.5z)
3.5z-2.1=0.5+2.5z
3.5z-2.5z=0.5+2.1
z=2.6
20. 4(3-2x)+24=2(3+2x)
12-8x+24=6+4x
-8x-4x=6-12-24
-12x=-30
x=2.5
21. 0.2(5y-2)=0.3(2y-1)-0.9
y-0.4=0.6y-0.3-0.9
y-0.6y=-0.3-0.9+0.4
0.4y=-0.8
y=-2
22. 3(0.4x+7)-4(0.8x-3)=2
1.2x+21-3.2x+12=2
-2x=2-21-12
-2x=-31
x=15.5
Вас заинтересует
3 года назад
7 лет назад
7 лет назад
10 лет назад
10 лет назад