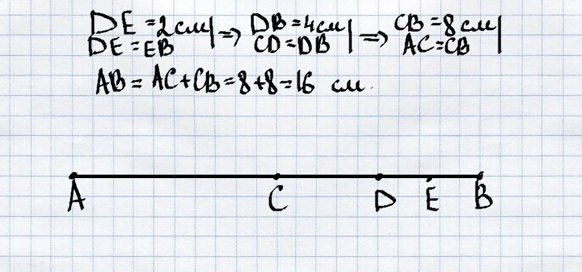
Точка C-середина AD.Точка D-середина CB.Точка E-середина DB.Найдите отрезок AB,если отрезок DE=2см.
Ответы
Ответ дал:
0
.......................................
Приложения:

Вас заинтересует
2 года назад
7 лет назад
9 лет назад
10 лет назад